En física, las simetrías tienen que ver con aquellos cambios que se podrían realizar sin llegar alterar el comportamiento de una ley física (expresión matemática) o la geometría de un determinado objeto, por ejemplo una esfera (como objeto o expresión matemática) es simétrica ante cualquier rotación (cambio realizado): aunque se gire la esfera en cualquier dirección, la seguiremos viendo igual: aquí se tiene una invariancia de lo que observamos ante una rotación espacial.
En 1918, la célebre matemática alemana Noether propuso que para cada simetría existe una ley de conservación, y viceversa.
Una ley de conservación estará en relación a una magnitud física (medible), por ejemplo la conservación de la energía está ligada al hecho de que la física de hoy es la misma que la de ayer. Asimismo, la conservación de la cantidad de movimiento, está asociada con el hecho de que la física es la misma aquí que en cualquier otro lugar. [Prieto, 2022]
Introducción
Se sabe que para cada operación de simetría hay una correspondiente ley de conservación.
La conservación de la cantidad de movimiento está relacionada con la homogeneidad e isotropía del espacio:La invariancia bajo translación espacial (homogeneidad espacial) significa la ley de conservación de la cantidad de movimiento lineal.
La invariancia bajo rotación espacial (isotropía) significa la ley de conservación de la cantidad de movimiento angular.
La conservación de la energía está relacionada con la homogeneidad temporal:
La invariancia bajo traslación en el tiempo significa que la ley de conservación de la energía es válida.
Las afirmaciones anteriores se obtienen directamente del primer teorema de Noether. Cabría decir que los dos teoremas son una útil contribución para a la física. Noether establece un vínculo entre dos conceptos importantes de la física: las leyes de conservación y las simetrías.
Coma ya apuntamos antes, una ley de conservación, por ejemplo la conservación de la energía, establece que la energía debe permanecer constante. No importa cuántas veces lo intentemos, la energía no se puede crear ni destruir. La certeza de la conservación de la energía ayuda a los físicos a resolver muchos problemas, desde calcular la velocidad de una bola que rueda cuesta abajo hasta comprender los procesos de fusión nuclear.
Las conexiones entre simetrías y leyes de conservación revelan una pauta y una razón detrás de las propiedades del universo que parecían arbitrarias antes de que se conociera esa relación. Durante la segunda mitad del siglo XX, el primer teorema de Noether se convirtió en la base del modelo estándar de física de partículas, que describe la naturaleza en pequeñas escalas y predijo la existencia del bosón de Higgs, una partícula descubierta con bombos y platillos en 2012. Hoy en día, los físicos siguen formulando nuevas teorías que se apoyan en el trabajo de Noether.
Las simetrías pueden considerarse como una forma de enunciar las propiedades más profundas de la naturaleza. La física moderna usa simetrías para limitar las posibles formas de nuevas leyes físicas. Sin embargo, esa conexión profunda entre simetría y leyes de conservación requiere la existencia de un principio mínimo en la naturaleza: el principio de mínima acción.
El principio de mínima acción se podría resumir como la manera física “más rentable” (desde el punto de vista energético) de obtener la trayectoria (dinámica) de un sistema entre una posición (configuración) inicial y otra final en un tiempo específico (esto recuerda la idea de Fermat). Esta se encuentra imaginando todas las trayectorias posibles que el sistema podría tomar, calculando la acción (la acción es una función L que tiene una dimensión de energía) para cada una de estas trayectorias y seleccionando una que haga que la acción sea “mínima” (localmente estacionaria).
En física moderna, el lagrangiano se considera como uno de los operadores más importantes. Atribuido al astrónomo y matemático franco-italiano J L Lagrange, el lagrangiano (o función escalar de Lagrange L dependiente de la posición r y velocidad v) entra en el escenario de la física hacia 1788 consolidando la física clásica analítica, permitiendo una descripción más completa de los sistema físico, a partir de la cual se pueden obtener la evolución temporal, las leyes de conservación y otras propiedades importantes de un sistema dinámico. Más tarde se generalizó para ser usado en teoría cuántica de campo. La función lagrangiana L(r ; v) = Ec – V; siendo Ec la energía cinética y V la energía potencial.
Por ejemplo, la conocida 2ª ley de Newton podrían expresarse no en la forma F = m x a sino en la forma: la energía cinética promedio menos la energía potencial promedio es la menor posible para la trayectoria de un objeto que va de un punto a otro. [Feynman, 2006]
Así como en la física clásica hay una serie de cantidades que se conservan, como el momento lineal, la energía y el momento angular. Los mismos teoremas de conservación sobre las cantidades correspondientes también existen en mecánica cuántica. Lo más hermoso de la mecánica cuántica es que los teoremas de conservación pueden, en cierto modo, derivarse de otra cosa, mientras que en la mecánica clásica son prácticamente los puntos de partida de las leyes. En mecánica cuántica, sin embargo, las leyes de conservación están muy profundamente relacionadas con el principio de superposición.
En resumen, las simetrías impregnan las leyes de la física: las ecuaciones no cambian en diferentes lugares (espacio) o en diferentes momentos (tiempo). [Feynman, 1994] [Van Dommelen, 2018]
Algo de historia
Cuando en 1918 la matemática alemana Emmy Noether demostró su primer teorema, descubrió la justificación más fundamental para las leyes de conservación. Su teorema nos dice que las leyes de conservación se derivan de las propiedades de simetría (homogeneidad espacial y temporal) de la naturaleza.
A partir de 1915, la relatividad general de Einstein pasa a ser una nueva teoría fascinante. Los matemáticos alemanes David Hilbert y Felix Klein, ambos de la Universidad de Göttingen, estaban inmersos en las peculiaridades de la nueva teoría. Hilbert había estado compitiendo con Einstein para desarrollar la teoría matemáticamente compleja, que describe la gravedad como el resultado de la curvatura del espacio-tiempo de la materia. Pero Hilbert y Klein tropezaron con un rompecabezas. Los intentos de usar el marco de la relatividad general para escribir una ecuación para la conservación de la energía dieron como resultado una tautología: como escribir «0 es igual a 0», la ecuación no tenía significado físico. Esta situación fue una sorpresa para la pareja; ninguna teoría previamente aceptada tenía leyes de conservación de energía como esta. [Gross, 1992]
Los dos matemáticos querían entender por qué la relatividad general tenía esta peculiar característica. Los dos reclutaron a Noether, que tenía experiencia en áreas relevantes de las matemáticas, para que se uniera a ellos en Göttingen y los ayudara a resolver el acertijo. Noether demostró que el tipo aparentemente extraño de ley de conservación era inherente a cierta clase de teorías conocidas como «generalmente covariantes». En tales teorías, las ecuaciones asociadas con la teoría se mantienen tanto si te mueves a velocidad constante como si aceleras, porque ambos lados de las ecuaciones de la teoría cambian de forma sincronizada. El resultado es que, en general, las teorías covariantes, incluida la relatividad general, siempre tendrán estas leyes de conservación no tradicionales. Este descubrimiento se conoce como el segundo teorema de Noether.
Lo anterior es lo que mejor hizo Noether: encajar conceptos específicos en su contexto matemático más amplio. «Pudo ver lo que está bien en el corazón de lo que está pasando y generalizarlo», dice la filósofa de la ciencia Katherine Brading de la Universidad de Duke (EE UU), que estudió los teoremas de Noether. En su camino para probar el segundo teorema, Noether demostró su primer teorema, sobre la conexión entre las simetrías y las leyes de conservación.
Noether presentó ambos teoremas en una conferencia del 23 de julio de 1918 en la Sociedad Matemática de Göttingen (Alemania). No es fácil encontrar citas de Noether que reflexionen sobre la importancia de su trabajo. Una vez que hacía un descubrimiento, parecía pasar a lo siguiente. Se refirió a su propia tesis doctoral como «niebla» en su alemán nativo. Pero Noether reconoció que cambió las matemáticas: “Mis métodos son realmente métodos de trabajo y de pensamiento; por eso se han colado en todas partes de forma anónima”, escribió a un colega en 1931.
Un poco sobre el principio holográfico y la gravedad cuántica
A pesar de algunos obstáculos, la simetría mantiene su importancia en toda la física. Los teoremas de Noether son herramientas esenciales para desarrollar posibles teorías de la gravedad cuántica, que unirían dos teorías dispares: la relatividad general y la mecánica cuántica (teorías cuánticas de campos).
El trabajo de Noether ayuda a los científicos a comprender qué tipos de simetrías pueden aparecer en una teoría tan unificada. Un candidato se basa en una conexión propuesta entre dos tipos de teorías complementarias: una teoría cuántica de partículas en una superficie bidimensional (2-D) sin gravedad puede actuar como un holograma para una teoría tridimensional de la gravedad cuántica en un espacio-tiempo curvo. Eso significa que la información contenida en el universo 3-D se puede imprimir en una superficie 2-D circundante (véase principio holográfico de los agujeros negros).
Como simpático ejemplo de lo anterior, supongamos que tenemos una lata de refresco con burbujas con una “etiqueta” que describa el tamaño y la ubicación de cada burbuja en su interior, esa etiqueta describe cómo esas burbujas se fusionan y revientan. Un investigador curioso podría usar el comportamiento de la superficie de la lata para comprender lo que sucede dentro de la lata, por ejemplo, calculando lo que podría suceder al agitarla. Para los físicos, comprender una teoría bidimensional más simple puede ayudarlos a comprender un lío más complicado, a saber, la gravedad cuántica, que ocurre en el interior (la teoría de la gravedad cuántica a la que se aplica este principio holográfico es la teoría de cuerdas, en la que las partículas se describen mediante cuerdas que se mueven)
Según el físico teórico Daniel Harlow del MIT (EE UU): “El teorema de Noether es una parte muy importante de esa historia”. El primer y segundo teorema de Noether podrían se contemplar: el primer teorema de Noether en la imagen 2-D hace la misma declaración que el segundo teorema de Noether en 3-D. [Feynman y Weinberg, 1999] [Feynman, 2006]
Nuevas perspectivas para Noether
La física cotidiana también se basa en el teorema de Noether. Las leyes de conservación que implica ayudan a explicar las olas en la superficie del océano y el aire que fluye sobre el ala de un avión. La simulación de tales sistemas ayuda a los científicos a hacer predicciones, por ejemplo, sobre patrones climáticos, vibraciones de puentes o los efectos de una explosión nuclear.
Ruptura (ocultación) de la simetría
El secreto de la naturaleza es la simetría, pero gran parte de la textura del mundo se debe a los mecanismos de ruptura de la simetría. Hay una variedad de mecanismos en los que la simetría de la naturaleza puede ocultarse o romperse.
En ocasiones la ruptura de simetría que se observa en dinámica es únicamente como de “aproximadamente simétrica”, donde la cuantía de la ruptura de simetría es pequeña, por lo que se puede tratar la violación de simetría como una pequeña corrección. Tales simetrías aproximadas conducen a leyes de conservación aproximadas. Muchas de las simetrías observadas en la naturaleza son de este tipo, no son realmente simetrías de las leyes de la física, sino —por lo que a veces parece ser debida a razones puramente accidentales— simetrías aproximadas para cierta clase de fenómenos. La simetría isotópica de la fuerza nuclear fuerte es un ejemplo de simetría aproximada; tendríamos los pequeños valores para las masas de los quarks “Up” y “Down”.
Una forma más profunda de ocultar la simetría es el fenómeno de la ruptura espontánea de la simetría. Aquí las leyes de la física son simétricas pero el estado del sistema no lo es. Esta situación es común en la física clásica. La órbita de la tierra es un ejemplo de una solución de las ecuaciones de Newton que no es rotacionalmente invariante, aunque las ecuaciones sí lo son. En consecuencia, para un observador del sistema solar, la invariancia rotacional de la ley de la gravitación no es manifiesta. La órbita particular es seleccionada por las condiciones iniciales asimétricas del planeta. Así, este mecanismo para ocultar simetrías de la física que está relacionado con la asimetría inducida por valores iniciales asimétricos.
La ruptura espontánea de la simetría es responsable de la existencia de cristales (que rompen la invariancia traslacional), el magnetismo (en el que se rompe la invariancia rotacional), la superconductividad (en la que se rompe la invariancia de fase de las partículas cargadas) y la estructura de la teoría electro-débil, etc.
Las simetrías rotas espontáneamente tienen consecuencias, aunque la simetría no sea manifiesta, tiene implicaciones. Así por cada simetría global rota existen fluctuaciones con muy poca energía. Esto aparece como partículas sin masa. Algunos ejemplos son las ondas de sonido en los sólidos (fonones), las ondas de espín en el magnetismo y los piones en la física nuclear. [Feynman, 2006] [Penrose, 2007]
Vemos que la simetría juega un papel importante en física. A menudo simplifica enormemente la solución de un problema. Por ejemplo, si tenemos un bol perfectamente redondo y cóncavo y le echamos una pequeña canica, la tarea de seguir su trayectoria posterior sería bastante compleja. Pero si solo nos interesa saber dónde finalmente se detiene, la respuesta es clara: en el único punto simétrico, el centro. Sin embargo, esto no siempre funciona. Pero supongamos que en lugar de un cuenco cóncavo, tenemos uno con la forma de la base de una botella de vino. Aunque esto sigue siendo perfectamente simétrico, la canica no terminará en el centro, donde estaría sentada sobre una joroba; vendrá a descansar en algún lugar del círculo de puntos más bajos. Este es un ejemplo de ruptura de simetría espontánea; el estado fundamental o de menor energía no comparte la simetría de la física subyacente. En cambio, existe toda una familia de estados fundamentales, los diferentes puntos del círculo. La ruptura de la simetría es espontánea en el sentido de que (a menos que tengamos información adicional) no podemos predecir cuál de estos estados fundamentales se elegirá.
Restauración de la simetría
Asociado con la ruptura espontánea de la simetría está el fenómeno de la restauración de la simetría. Si se calienta lo suficiente un sistema que posee una simetría rota, tiende a restaurarse. Así, un material ferromagnético puede magnetizarse a baja temperatura (o incluso a temperatura ambiente) con todos los pequeños imanes atómicos alineados en la misma dirección. Este es un estado de simetría rotacional rota. A medida que aumenta la temperatura, los átomos vibran más y más. Finalmente, cuando la temperatura es mayor que un cierto valor crítico, las fluctuaciones ganan a las fuerzas que tienden a alinear los imanes atómicos y la magnetización promedio se desvanece. Por encima de la temperatura crítica, el sistema exhibe simetría rotacional. Tal transición de un estado de simetría rota a uno donde se restablece la simetría es una “transición de fase”.
Se cree que el mismo fenómeno de transición de fase ocurre en el caso de las simetrías de las fuerzas fundamentales de la naturaleza. Muchas de estas se rompen a bajas temperaturas. En el universo primitivo, cuando la temperatura era muy alta, todas estas simetrías de la naturaleza presumiblemente fueron restauradas. Las transiciones de fase resultantes, a medida que el universo se expandía y enfriaba, de estados simétricos a estados de simetría rota, tienen importantes implicaciones cosmológicas. [Feynman y Weinberg, 1999] [Feynman, 2006]
Simetrías Gauge (locales)
Las simetrías tradicionales descubiertas en la naturaleza eran simetrías globales, transformaciones de un sistema físico de una manera que es la misma en todas partes del espacio. Las simetrías globales son regularidades de las leyes del movimiento pero están formuladas en términos de eventos físicos; la aplicación de la transformación de simetría produce una situación física diferente, pero todas las observaciones son invariantes bajo una determinada transformación. Por lo tanto, las rotaciones globales lo hacen en el laboratorio, incluido el observador y el medidor, y todas las observaciones permanecerán sin cambios. La simetría “gauge” es de una naturaleza totalmente diferente. Las simetrías gauge se formulan solo en términos de las leyes de la naturaleza. [Becchi, 1996]
Una simetría gauge es una transformación de simetría que se puede llevar a cabo por separado en diferentes partes del espacio.
Las simetrías gauge a veces se denominan simetrías locales, ya que podemos hacerlas de forma independiente (localmente) en cada punto; deben contrastarse con las simetrías globales, que deben realizarse de manera uniforme en todo lugar.
Puede ser confuso, porque «local» suena como si fuera menos que «global», mientras que en realidad una simetría gauge (local) representa muchísimo más simetría que una mera simetría global, ya que las transformaciones pueden ocurrir de manera completamente independiente en cada punto.

![]()
La primera expresión es para un cambio global de fase λ, la segunda es un cambio local para cada punto (vector) r de la fase λ (r,t)
La simetría gauge apareció por primera vez en la electrodinámica de Maxwell. Aquí, los observables físicos son los campos eléctrico y magnético (vectores) E y B. Pronto se descubrió que se podían simplificar las ecuaciones introduciendo un potencial vectorial A y un potencial escalar ϕ, con los que se podían expresar tanto el campo eléctrico como el magnético. Se comprobó que se podía realizar una transformación de gauge, sin cambiar los valores de E y B. [Feynman, 2006]
Las teorías relativistas de la mecánica cuántica postulan simetrías que se aplican a nivel local (punto a punto). Tales simetrías reducen mucho más lo que la física puede hacer porque involucran parámetros separados para cada punto por separado. Combinados con los requisitos masivos de antisimetrización de los fermiones, permiten deducir la física en términos de unos pocos parámetros numéricos restantes. El llamado “modelo estándar” de la mecánica cuántica relativista postula una combinación de tres simetrías de la forma [Svetlichny, 1999] [Feynman y Weinberg, 1999] [Feynman, 2006]:
U(1) x SU(2) x SU(3)
Comentarios:
En términos de álgebra lineal, U(1), U(2) y U(3) son matrices complejas que describen rotaciones de vectores complejos en 1, 2 y 3 dimensiones respectivamente. La «S» en las últimas dos matrices indica que son especiales en el sentido de que el determinante de la matriz es 1.
La primera matriz U(1) se caracteriza por depender de un parámetro, el ángulo sobre el que giran los números complejos. Da lugar al fotón γ, que es el bosón mediador de la fuerza electromagnética.
La segunda matriz U(2) tiene tres parámetros, correspondientes a los tres bosones W+, W– y Z0 mediadores de la fuerza nuclear débil.
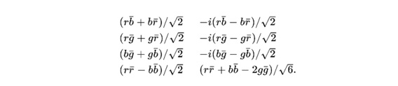
La tercera matriz U(3) dispone de ocho parámetros, correspondientes a los ocho gluones mediadores de la fuerza nuclear fuerte. Este octeto de gluones deriva de 8 expresiones (estados linealmente independientes, equivalente a las 8 matrices 3×3 de Gell-Mann) formándose por una superposición de dos o tres términos (singletes) formados por las diversas cargas de color (red, green, blue) y anticolor (anti-red, anti-green y anti-blue –con raya-):

Nuevas simetrías
La exploración teórica actual en la búsqueda de una mayor unificación de las fuerzas de la naturaleza, incluida la gravedad, se basa en gran medida en la búsqueda de nuevas simetrías de la naturaleza. Los teóricos especulan sobre simetrías locales cada vez más grandes y patrones más complejos de ruptura de simetría para unificar aún más las interacciones separadas. Lo más interesante es la especulación sobre nuevos tipos de simetría, que podrían explicar algunas de las características más misteriosas de la naturaleza. La más destacada es la supersimetría que tiene la capacidad de unificar bosones y fermiones en un solo patrón (unificar materia y fuerza).
Comentarios adicionales sobre el Hamiltoniano
El Hamiltoniano H, según se use en mecánica clásica o en mecánica cuántica, tiene dos significados algo distintos, si bien existe un fundamento común. En la mecánica clásica (o mecánica analítica hamiltoniana), H es una función que describe el estado de un sistema en términos de variables posición X y momento P. En mecánica cuántica, el operador Hamiltoniano H se correspondiente con el observable que representa la energía del sistema.
Para la mecánica cuántica (H con circunflejo ^ es el observable que representa la energía del sistema) se tiene la expresión de autovalores de energía Eψ del estado del sistema |ψ> (autovector):

Invariancia bajo una traslaciones espaciales X (en su coordenada i: xi) del Hamiltoniano H nos conduce a la conservación del momento lineal pi (coordenadai del vector momento lineal P):

Invariancia bajo rotaciones espaciales (de radio R) de H nos lleva, de forma análoga, a la conservación del momento angular L (vector):

Invariancia bajo traslaciones temporales del Hamiltoniano H implica a la conservación de la energía E:

Conservación de la información
El principio de conservación de la información es una idea que se ha ido consolidando como uno de los fundamentos más profundos de la física teórica moderna. A diferencia de otras leyes de conservación que se derivan de simetrías a través del teorema de Noether, la conservación de la información no parece asociarse directamente con una simetría del espacio-tiempo o de los campos, sino que se presenta como un principio más general que afecta a la estructura misma de las teorías físicas. Este principio sostiene que la información contenida en el estado completo de un sistema físico cerrado no puede perderse ni destruirse a lo largo del tiempo. En otras palabras, si se conoce completamente el estado de un sistema en un instante dado, debe ser posible, al menos en principio, determinar su estado en cualquier otro momento pasado o futuro.
En la física clásica, especialmente en la mecánica newtoniana y en la mecánica hamiltoniana, este principio está implícito en la estructura determinista de las ecuaciones de movimiento. El conocimiento exacto de las condiciones iniciales permite predecir con certeza el comportamiento futuro del sistema, y en sentido inverso, permite reconstruir su estado anterior. La evolución en el espacio de fases es tal que volúmenes en este espacio se conservan en el tiempo, una propiedad conocida como teorema de Liouville. Este teorema no implica que la dinámica sea reversible para todos los fines prácticos, pero garantiza que la información sobre las condiciones iniciales no se pierde en la evolución, aunque se redistribuya de forma compleja. Así, la física clásica asume, sin necesidad de postularlo explícitamente, que la información es preservada por las leyes de evolución.
En la mecánica cuántica, la situación adquiere una profundidad conceptual aún mayor. El principio de evolución unitaria de los sistemas cuánticos, gobernada por la ecuación de Schrödinger, garantiza que los estados cuánticos evolucionan de forma tal que se conserva su norma y su estructura. Esta unitariedad implica que la información cuántica contenida en un sistema cerrado se conserva. La probabilidad total permanece constante y no se introduce ni se elimina información en el proceso. En este contexto, la información no se refiere solo a variables clásicas como posición o momento, sino al conjunto completo de amplitudes de probabilidad que describen el sistema. La pérdida aparente de información en procesos como la decoherencia se explica como una transferencia de información al entorno, pero no como destrucción de información. Incluso en problemas abiertos como la evaporación de agujeros negros, la comunidad científica ha tendido a considerar que la conservación de la información debe mantenerse. La violación de este principio implicaría una modificación profunda de la mecánica cuántica o una teoría nueva que la supere, algo que aún no ha ocurrido de forma consensuada.
El principio de conservación de la información, aunque no esté asociado directamente con una simetría convencional, se considera un pilar teórico indispensable para la coherencia de nuestras teorías físicas. Su validez en física clásica y cuántica respalda la idea de que la evolución de los sistemas físicos debe ser en última instancia reversible, y que toda la información inicial sigue presente, aunque dispersa o inaccesible, en los estados posteriores. [Susskind, 2005] [Nielsen et al., 2010]
Información, entropía e indeterminación son tres conceptos profundamente interrelacionados que ocupan un lugar central en la física moderna, especialmente en el contexto de la mecánica cuántica, la teoría de la información y la termodinámica. Aunque provienen de áreas distintas, su conexión ha permitido una comprensión más profunda de la naturaleza del conocimiento, la evolución de los sistemas físicos y los límites del determinismo.
En primer lugar, la información en física puede entenderse como el conocimiento disponible sobre el estado de un sistema. En mecánica clásica, este conocimiento puede ser, al menos en principio, completo: conocer las posiciones y velocidades de todas las partículas permite predecir su evolución futura. Sin embargo, en la mecánica cuántica, debido al principio de indeterminación, no es posible conocer simultáneamente ciertos pares de variables con precisión arbitraria. Esto introduce un límite fundamental a la cantidad de información que se puede obtener sobre el sistema.
La entropía, por su parte, es una medida de la falta de información. En termodinámica clásica, la entropía se relaciona con el número de microestados compatibles con un macroestado dado. En teoría de la información, la entropía de Shannon cuantifica la incertidumbre o el contenido informativo promedio de una fuente. En mecánica cuántica, la entropía de von Neumann extiende esta noción al ámbito de los estados cuánticos, permitiendo medir cuán mezclado está un estado o cuánta información se ha perdido para un observador parcial.
Finalmente, la indeterminación, característica propia de la mecánica cuántica, se manifiesta en la imposibilidad de predecir con certeza el resultado de ciertas mediciones. Esta indeterminación no es debida a la ignorancia o a una falta de precisión experimental, sino que es una propiedad ontológica del mundo cuántico. Aun así, el sistema cuántico evoluciona de manera perfectamente determinada y unitaria entre observaciones. Lo que se pierde, entonces, no es la información total del universo, sino la accesibilidad a esa información desde un marco limitado.
La relación entre estos conceptos se ve con claridad en fenómenos como la decoherencia, donde un sistema cuántico pierde coherencia al interactuar con su entorno. Aunque desde la perspectiva del observador parece que se pierde información y aumenta la entropía, en realidad la información se transfiere al entorno, y el sistema global conserva su estado cuántico completo. Así, el aumento de entropía puede interpretarse como una manifestación de la redistribución de la información, y la indeterminación como una consecuencia de los límites sobre lo que puede conocerse o controlarse.
En este sentido, la física moderna ha reemplazado el viejo determinismo clásico por una visión en la que el conocimiento está limitado por principios fundamentales, y donde la información y la entropía juegan un papel tan importante como la energía o el momento. Entender estos vínculos ha sido clave para el desarrollo de la teoría cuántica de la información y para replantear los fundamentos de la termodinámica y de la cosmología. [Shannon, 1948] [von Neumann, 1955]
Resumiendo, por Información nos estamos refiriendo a la información accesible sobre el estado cuántico de un sistema, es decir, la que puede obtener un observador mediante mediciones de variables. Entropía es una medida de la falta de información del observador sobre el sistema. Indeterminación es la imposibilidad de conocer con precisión a priori el resultado en la medida de una variable. Cuando la entropía sube, la información accesible baja y la indeterminación en los resultados medibles aumenta.
Conclusiones
Al estar incompleto el modelo estándar, no poseemos toda la información sobre las familias de partículas existentes en la naturaleza (y el universo).
Por ejemplo, aun se ha de conciliar el valor predicho (teórico) de la constante cosmológica (relatividad general) con los valores experimentales, teniendo en cuenta la expansión acelerada del universo (materia y energía oscura).
Se piensa que, probablemente, aparezcan nuevas partículas (y nuevos bosones) lo que nos podría llevar a un insólito escenario que contemple la existencia de otros campos cuánticos. [Prieto Ogando, 2020]