De forma muy general, la idea más común sobre el concepto de coherencia tiene que ver con algún tipo de conexión, relación o unión entre varias cosas.
En la mecánica cuántica se habla de coherencia entre estados cuando es posible mantener sus fases (o desfases), al menos durante un cierto tiempo, haciendo posible el efecto de superposición de estados (y del fenómeno de interferencia entre estados). El entrelazamiento cuántico entre partículas, tratados en otros apartados, está en relación con el concepto de superposición y coherencia entre estados.
Así pues, un caso de coherencia cuántica es cuando se tienen dos partículas en estado de entrelazamiento, las cuales se describen con una única función de onda ψ. Ver: ‘Superposición Cuántica’ y ‘Entrelazamiento cuántico’.
La coherencia en la mecánica cuántica se debe a la naturaleza de las funciones de onda, que describen el estado (común) de partículas y moléculas. Estas pueden ser funciones de tipo sinusoidal, lo que significa que no sólo tienen una amplitud sino también una fase. La coherencia de una estado cuántico ψ significa que las fases de todos los estados en superposición (p. ej. los elementos de una base), constituyentes de la función de onda ψ (que representa el estado ψ), se mantienen constantes durante un cierto tiempo.
Tras el concepto de ‘superposición coherente de estados cuánticos’ (ver apartado de ‘Superposición cuántica‘) subyace la idea de ‘coherencia cuántica’.
Como ejemplo sencillo, consideremos 2 estados básicos: |0⟩ y |1⟩ (pensemos que son como vectores con coeficientes complejos que forman una base ortonormal: suponemos que |0⟩ y |1⟩ son ortogonales ⟨0|1⟩ = ⟨1|0⟩ = 0 y de norma -longitud- la unidad).
Tenemos el estado puro y coherente ψ:
|ψ⟩ = 1/√2 ( |0⟩ + eiϕ |1⟩ )
Siendo ϕ la fase (si ϕ es contante entonces hay coherencia). La unidad imaginaria es i = √ -1. ⟨0|1⟩ representa el producto interno de |0⟩ por |1⟩.
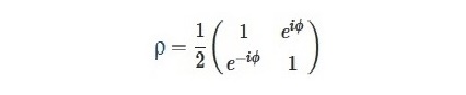
Al estado |ψ⟩ le corresponde una ‘matriz densidad’ ρ ≡ |ψ⟩⟨ψ|. Siendo el elemento – fila i y columna j – de esta matriz:
ρij = ⟨i|ρ|j⟩. (Ver: matriz densidad).
Cuya matriz densidad ρ se escribirá como:

Esta matriz densidad ρ, si ϕ es constante, ψ será un estado puro (y coherente). Se verifica que ρ2 = ρ.
Cuando la fase ϕ se vuelve aleatoria (deja de ser constante) por una situación de decoherencia (p. ej. por una observación, medida o por interaccionar ‘demasiado’ con su entorno), se tiene que el valor medio de eiϕ se vuelve cero [ver que: eiϕ = cos(ϕ) + i sen(ϕ)], teniendo ahora una matriz de densidad ρ’, como consecuencia de la decoherencia, la forma:

La matriz de densidad ρ′ ya no representa un estado puro (ni coherente), esto es simplemente una ley de probabilidad estadística clásica (ha perdido la coherencia o la fase ϕ). Los dos elementos que no pertenecen a la diagonal principal de la matriz ρ’ se han vuelto cero. La matriz de densidad ρ′ es un estado de mezcla estadística de los dos estados |0⟩ y |1⟩ al 50% (con una probabilidad de 1/2 para cada estado puro |0⟩ y |1⟩).
La matriz ρ′ no representa un estado puro, ya que no verifica la condición ρ’2 = ρ’.
En la «decoherencia» es como si el aspecto ontológico clásico (macroscópico) emergiese de lo cuántico (microscópico).
En 1926, Erwin Schrödinger derivó las soluciones de los estados coherentes del oscilador armónico cuántico, que son los autovectores del operador número N (producto de los operadores escalera o ladder: ascendente o raising a+ por el operador descendente o lowering a). En óptica cuántica, un estado coherente se refiere a un estado del campo electromagnético cuantificado (fotones), que describe un máximo de coherencia (mínima incertidumbre cuántica – Ver P. Incertidumbre de Heisenberg).