Un estado puro de un sistema cuántico se puede describir mediante una función de onda ψ(t) o un vector ket: |ψ(t)> (en la notación bra-ket de Dirac).
Según la notación bra-ket de Paul Dirac: «<ψ(t)|» es un bra y «|ψ(t)>» es un ket .
El vector |ψ(t)> pertenecen a un espacio de Hilbert complejo H.
En el anterior espacio de Hilbert H se denota el producto interno de dos vectores |x> e |y>, de este espacio H, como: <x|y> = ∑k x*k yk. Habiendo sido desarrollados los vectores |x> e |y> en una misma base de vectores ortonormales {|k>} de H, siendo los coeficientes complejos xk e yk las proyecciones de los vectores |x> e |y> sobre el k-ésimo elemento de la base, el subíndice k variará como: k = 0, 1, 2…; siendo x*k el complejo conjugado de xk.
La evolución en el tiempo de |ψ(t)> será según un operador de evolución temporal U(t) unitario a partir del estado inicial |ψ(0)>:
|ψ(t)> = U(t) |ψ(0)>
El operador U(t) conservará el producto interno (y la norma o ‘longitud’)).
La norma de ψ(t), ║ψ(t)║, será la unidad: ║ψ(t)║ = 1; siendo ║ψ(t)║2 = <ψ(t)|ψ(t)> => ║ψ(t)║ = √ <ψ(t)|ψ(t)>.
La matriz de densidad (operador densidad) ρ(t) para un estado puro es una representación alternativa del estado de un sistema cuántico para el que hemos utilizado previamente la función de onda ψ(t) o su vector ket |ψ(t)>; aunque el usó de esta matriz supone ventajas prácticas.
La matriz de densidad ρ(t) se define como el producto externo (cuyo resultado es un operador) de la función de onda y su conjugado (usando la notación bra-ket de Dirac: en este caso sería el ket por el bra):
ρ(t) ≡ |ψ(t)> <ψ(t)|
Esta matriz densidad representa un estado puro de un sistema cuántico. El estado puro está descrito por la función de onda ψ(t) o vector |ψ(t)>; que a su vez es una superposición de los estados (vectores) de una base {|n>} con coeficientes complejos cn(t).
Así pues, un estado puro |ψ(t)> se puede escribir como:
|ψ(t)> = ∑n cn(t) |n>
La base {|n>} se puede escribir como: {|0>, |1>, |2>, …}
Con el índice n se cubrirán todos los vectores de la base, es decir n = 0, 1, 2, …..
Entonces, estando en el estado puro |ψ(t)> = c0(t) |0> + c1(t) |1> + c2(t) |3>, ….., como superposición de los vectores de la base {|n>}, al realizar una medida, la probabilidad de conseguir (reducir en o colapsar en) un determinado vector de la base |n> es de |cn|2 = c*n cn ; siendo c*n el complejo conjugado de cn .
Por ejemplo, para una base compuesta únicamente por dos vectores {0> , |1>}, la probabilidad de conseguir el resultado |1> al realizar una medida, estando en el estado puro |ψ(t)> = c1 |1> + c2 |2> será de |c1|2 = c*1 c1 .
Un elemento de matriz densidad ρf,c(t), fila f y columna c:
ρfc(t) = < f | ρ(t) | c > = cf(t) c*c(t)
Los vectores |f> y |c> pertenecen a la base {|n>}, ocupando las posiciones f y c de esta. Siendo c*c (t) el complejo conjugado de cc(t).
Un observable A (magnitud física), se puede representar por una matriz, siendo un elemento de la matriz A (fila f y columna c) Afc :
Afc = < f | A | c >
El valor medio del observable A en el estado |ψ(t)> se representa como <A>, siendo:
<A> = <ψ(t)|A|ψ(t)> = ∑i,j ci(t) c*j(t) <j|A|i> = ∑i,j ρij (t) Aji = ∑n,m Aji ρij(t) =Tr [A ρ(t)]
Con los índice i y j se cubrirán todos los vectores de la base {|n>} anterior, es decir i = 0, 1, 2, ….. y j = 0, 1, 2, ….. Siendo Tr […] la traza de una matriz.
Un forma de describir una situación de mezcla estadística de estados puros (o estado mixto) en el que se pueda encontrar un sistema cuántico, es mediante una matriz densidad (operador densidad) para una mezcla estadística de estados puros |ψi(t)> con sus respectivas probabilidades pi: {pi, |ψi(t)>}.
La descripción mediante una mezcla estadística es la más adecuada cuando no se conoce toda la información sobre el sistema (no conocemos completamente el estado inicial).
Para definir la matriz densidad para una mezcla estadística para el caso de N estados puros |ψi(t)>, se partirá del conocimiento de la probabilidad pi para cada estado puro de la mezcla.
Sabiendo que cada estado puro de la mezcla |ψi(t)> es:
|ψi(t)> = ∑n cin(t) |n>
La mezcla estadística de los N estados puros es:
El estado mezcla es: ∑i pi (∑n cin(t) |n>)
La suma ∑ i es en el rango: i=1 a i=N y ∑ n es para todos los vectores de la base {|n>}, es decir n=0, 1, 2,…….
Donde se ha asociado cada probabilidad pi a cada estado puro estado |ψi(t)> en el que pueda estar el sistema cuántico. Siendo: 0 ≤ pi ≤ 1 y ∑i pi = 1; para el rango: i=1 a i=N.
La matriz densidad para cada |ψi(t)> es:
ρi(t) ≡ |ψi(t)> <ψi(t)|
Siendo un elemento de la matriz densidad (fila f y columna c) ρif,c(t):
ρif,c(t) = <f|ρi(t)|c> = cif(t) c*ic(t)
Los vectores |f> y |c> pertenecen a la base {|n>}, ocupando las posiciones f y c.
Siendo el elemento de matriz densidad para la mezcla (fila f y columna c) ρf,c(t):
ρf,c(t) = ∑i pi ρif,c(t)
El sumatorio anterior ∑i es para los N estados puros de los que consta la mezcla estadística, es decir desde i=1 hasta i=N.
Pudiendo decir que cada elemento de matriz densidad de la mezcla ρf,c(t) es el promedio ponderado con las probabilidades pi, de los ρif,c(t) para todos los estados puros definido por los N valores del índice i.
Siendo la matriz densidad para la mezcla:
ρ(t)mezcla = ∑i pi ρi(t) = ∑i pi |ψi(t)> <ψi(t)|
La matriz densidad para la mezcla es la que mejor define la situación en la que se está en una mezcla estadística de estados puros.
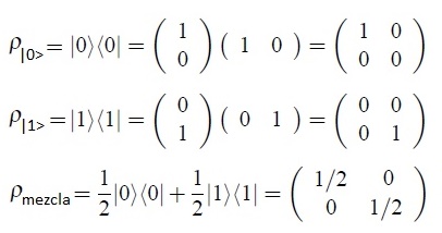
Un sencillo ejemplo: Consideremos el estado mezcla compuesto por el estado puro |0>, con una probabilidad de 1/2, y el estado puro |1>, con una probabilidad de 1/2, entonces las matrices densidad de estos estados en la base {|n>} = {|0>, |1>} son:

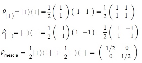
Otro ejemplo: Consideremos el estado mezcla compuesto por el estado puro |+>, con una probabilidad de 1/2, y el estado puro |->, con una probabilidad de 1/2. En la base {|n>} = {|0>, |1>}, los estados puros |+> y |-> son:
|+ > = 1/√2 (|0> + |1>)
|- > = 1/√2 (|0> – |1>)
Entonces los operadores densidad de estos estados y de la mezcla son:
ρ|+> = |+><+| = 1/2 (|0><0| + |0><1| + |1><0| + |1><1|)
ρ|-> = |-><-| = 1/2 (|0><0| – |0><1| – |1><0| + |1><1|)
ρmezcla = 1/2 (|0><0| + |1><1|)
Siendo lo anterior en forma matricial:

Se puede ver que las dos matrices de densidad ρmezcla que se ha obtenido en los dos ejemplos anteriores son idénticas, aunque el estado mezcla del que se partió fuese diferente. Por tanto, se ve que es posible que dos estados mezclas diferentes tengan la misma matriz de densidad.
Se pueden distinguir dos estados mezcla si y solo si la matriz de densidad ρ es diferente.
La matriz densidad evoluciona en el tiempo siguiendo:
i ℏ ∂/∂t ρ = [H , ρ]; donde [H , ρ] es el conmutador del hamiltoniano H y el operador densidad ρ.